Cette fiche s’adresse à des utilisateurs maîtrisant l’usage des formules mathématiques. Toutes les unités doivent être des unités SI.
1. Principe général
Ventiler naturellement, c’est valoriser les mouvements naturels de l‘air.
C’est Archimède qui en a expliqué le principe il y a 22 siècles. L’air chaud se dilate, il est à volume égal plus léger que l’air froid, il « subit une poussée de bas en haut », il a donc tendance à monter, un mouvement d’air se crée.
Deux actions principales se combinent pour créer un mouvement de l’air dans un bâtiment :
- Si la température extérieure est inférieure à la température intérieure d’un bâtiment (de nuit en été), l’air chaud dans une pièce va avoir tendance à sortir par le haut d’une fenêtre, il est remplacé par le bas de la même fenêtre, par de l’air froid provenant de l’extérieur : ouvrez de nuit une fenêtre, mettez votre main en bas de la fenêtre, puis en haut, vous constaterez facilement ce double mouvement d’air entrant et sortant, même en l’absence de tout vent
- En hiver, le même phénomène se produit, et le calcul reste le même. De jour en été, idem, mais c’est l’air chaud extérieur qui entre dans le bâtiment
- Le vent, évidemment, peut participer grandement au mouvement de l’air dans un bâtiment : le vent n’est rien d’autre qu’un mouvement macroscopique provoqué par une différence de température entre l’air au sol, chauffé par la conversion du rayonnement solaire en émission infrarouge et donc léger, et l’air en altitude, qui est froid et donc plus lourd
1.1. Précautions d’usage générales
Comme toute formule de calcul, le résultat fait abstraction de nombreux paramètres qui font toute la différence entre un calcul et une réalité.
Ces paramètres, de manière non exhaustive, comprennent :
- La vitesse réelle du vent et sa turbulence, son orientation
- La température et l’humidité de l’air
- La rugosité de l’environnement extérieur (son impact sur la vitesse réelle du vent au niveau de l’ouverture) : entre un centre urbain et une construction en rase campagne, entre un rez-de-chaussée et un dernier étage, on comprend facilement qu’à vent égal, la réalité sera différente
- La température extérieure des murs, qui va influencer le tirage thermique : un mur surchauffé (voir une rue surchauffée : effet d’îlot de chaleur) va générer une sorte de rideau d’air chaud qui va freiner le tirage de la fenêtre
- Les obstacles internes au bâtiment : murs, mobilier, rugosité des parois, …
Les résultats d’un calcul permettent d’évaluer une situation, et surtout sa variation relative quand on en modifie les paramètres (par exemple ici, modification de la forme et de la dimension des ouvrants), ils ne permettent jamais de décrire une réalité future.
1.2. Modèle général de simulation de la VPOF
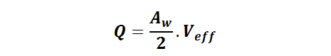
Un modèle empirique permettant l’évaluation des débits de renouvellement d’air par simple exposition au vent d’une fenêtre, a été proposé par De Gidds et Phaff en 1982. La vitesse effective du mouvement d’air généré est donnée par la formule suivante (voir en bas de page l’image 1).
Avec :
vr = vitesse moyenne réelle du vent (m/s)
H = hauteur de l’ouvrant (m)
ΔT = écart moyen de température entre l’intérieur et l’extérieur (°C)
Le coefficient c1 est fonction du type d’ouvrant
c2 affecte le tirage thermique
c3 affecte l’effet du vent
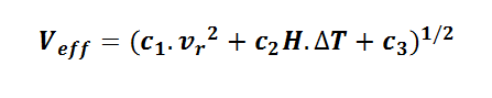
Le débit volumique d’air renouvelé à travers l’ouvrant est alors égal au produit de la vitesse efficace du vent par la moitié de la surface Aw (en m²) de l’ouvrant (l’autre moitié servant à la sortie de l’air)
Voir l’image 2 en bas de page (cliquez sur les images pour les faire défiler).
1.3. Ventilation par un ouvrant unique
Il s’agit de la ventilation provoquée par l’ouverture d’une unique fenêtre.
Pour être réellement efficace, une telle ventilation naturelle implique une surface d’ouvrant correspondant à environ 1/20ème de la surface du plancher à ventiler, une hauteur d’ouvrant d’au moins 1.5 m, et une profondeur maximum de la pièce à ventiler de 2,5 fois la hauteur sous plafond. La ventilation à simple exposition est comme on peut le voir une technique peu dépendante du vent moyen et elle ne sera pas très efficace si l’écart de température entre l’intérieur et l’extérieur demeure limité, en mi-saison, sauf à avoir de très grandes surfaces d’ouvrants, et surtout de grandes hauteurs d’ouvrants. Elle peut s’avérer suffisante pour une pièce de dimensions modestes avec des fenêtres hautes (modèle Haussmannien), ou si la distance à parcourir en ventilation traversante est importante par rapport à la surface à ventiler, qui plus est en centre urbain dense ou le vent réel reste faible.
Les coefficients à utiliser sont les suivants :
- c1 = 0,001
- c2 =0,0035
- c3 = 0,01
- Pour vr, il est conseillé de prendre comme valeur de référence 1,5 en centre urbain, 2 à 3 en village peu urbanisé (R+2 max), 3 à 5 en rase campagne sans arbres proches
Voir l’image 3 en bas de page.
2. Ventilation traversante
Une meilleure stratégie de ventilation naturelle est généralement d’avoir recours à une ventilation traversante.
Les débits d’air deviennent principalement dépendants de la vitesse du vent, et donc très variables suivant le climat local, sachant qu’il faut limiter la vitesse du flux d’air traversant pour ne pas générer de gêne (fenêtres et portes qui battent, papiers qui s’envolent, sensation de froid, …) ni de gaspillages thermiques en hiver. De nombreux autres facteurs rendent quasiment impossible une modélisation simple de ce type de ventilation : formes intérieures, obstacles, urbanisme, … Il faut globalement réguler le flux traversant souhaité en fonction de la saison par une perte de charge devant s’adapter aux conditions climatiques, et avoir des constructions de profondeur limitée dans l’axe du vent dominant.
Dans la configuration la plus simple, avec deux ouvrants de mêmes dimensions positionnés en vis-à-vis sur les deux faces traversantes, le débit d’air sera proportionnel à la vitesse du vent multipliée par la section des ouvrants, affecté d’un coefficient de perte de charge.
Nota : en Provence, il était autrefois d’usage de munir toutes les portes intérieures de lanterneaux, permettant de moduler et maintenir la ventilation traversante sans devoir maintenir les portes ouvertes.
D’un point de vue pratique, on peut reprendre la même formule que pour la ventilation non traversante, mais avec comme coefficient c1=0,01 soit un coefficient décuplé sur l’effet du vent.
Voir l’image 4 en bas de page.
- Pour la hauteur, il faut retenir la valeur fictive entre le point bas de l’ouvrant entrant et le point haut de l’ouvrant sortant. Une ventilation traversante valorisant un Duplex sera plus efficace, surtout si le point haut est dos au vent dominant.
- Pour le calcul du débit, il faut retenir la valeur de la plus petite section traversée (fenêtre, porte, lanterneau, …)
- Pour la vitesse du vent vr, on peut retenir les mêmes valeurs que précédemment : 1,5 en centre urbain, 2 à 3 en village peu urbanisé (R+2 max), 3 à 5 en rase campagne sans arbres proches, mais on pourra aussi estimer le débit obtenu par grand vent, par exemple avec une vitesse de 15 m/s
- La vitesse efficace du vent peut être modulée par une règle trigonométrique (cosinus de l’angle de circulation du flux) pour les ouvrants qui ne sont pas en vis-à-vis complet (semi-traversant) ou qui ne sont pas dans l’axe du vent dominant (pour 2 ouvrants à angle droit, le coefficient à appliquer est de 0,7)
- Pour le résultat, il faut garder en tête que c’est un calcul approché qui ne prend pas bien en compte les pertes de charge variables qui vont pouvoir intervenir, et que la vitesse réelle du vent est très variable : ce n’est qu’une estimation du possible !
3. Ventilation par convection
En l’absence totale de vent, ou pour éviter les inconvénients de la ventilation traversante, il reste le dernier principe de ventilation, le plus efficace, qui est la ventilation par tirage thermique naturel. Comme Archimède l’a expliqué, l’air chaud a tendance à monter, et l’air froid à descendre.
Nota : dans les anciennes constructions urbaines, il y avait souvent une courette intérieure, qui apporte très peu de lumière (elle n’est pas faite pour çà), mais qui est un outil fondamental de ventilation des immeubles. Les pièces humides y donnent, afin de faire sortir l’air vicié et chaud par ces pièces, les pièces de vie assurant l’entrée d’air neuf.
Voir les deux photos en bas de page, images 5 et 6.
À condition d’offrir au flux d’air un orifice de renouvellement par le bas, et un orifice d’échappement par le haut, ce système est de loin le plus efficace, car il ne nécessite aucun vent, il ne dépend donc ni des variations locales de la météo, ni des obstacles environnants au vent.
Voir l’image 7, Système de ventilation par tirage naturel incorporé dans les cloisons d’une construction bioclimatique. Crédit : Raphaël Bobeda, architecte.
En cas d’utilisation de conduits, il pourra être pris en compte les pertes de charge aérauliques. La formule qui suit considère un conduit à faible perte de charge, de type cage d’escalier ou courette.
Voir l’image 8 en bas de page.
Cette formule est tout simplement le calcul de la poussée d’Archimède.
- To et Ti (en Kelvin) sont les températures respectivement extérieure et intérieure
- g est l’accélération terrestre (9,81 m·s-2)
À partir de cette poussée d’Archimède, on peut estimer les débits en fonction des sections d’entrée et de sortie d’air, et des pertes de charge, ce qui est déjà plus compliqué. On utilise généralement l’analogie avec les systèmes de conduits aérauliques pour estimer les débits obtenus, en fonction de la configuration du cheminement de l’air.
Pour une première estimation, on peut se contenter de la formule simplifiée de calcul de la vitesse. Le débit s’obtient ensuite en multipliant la vitesse par la section, tout simplement.
Voir l’image 9 en bas de page.
- V = vitesse de l’air (en m/s)
- ρ = masse volumique de l’air (air sec : 1,22 kg/m3 au niveau de la mer à 15°C - 1,16 à +30°C - 1,29 à 0°C)
- ΔP = pression différentielle
À titre d’exemple, une cheminée de 10 mètres de haut présentant un écart de température de 10°C entre sa base (air entrant) et son sommet (air sortant) génèrera une pression différentielle de 4 pascals (le pascal correspond à une force de 1 newton exercée sur une surface de 1 m², soit 1 kg/s².m - la pression atmosphérique moyenne est de 1013 Pa). On obtient un débit d’environ 2,6 m3/s par m² de section, soit 9000 m3/h. Une courette de 2 m² dans un R+3 permet ainsi d’atteindre un débit théorique de 18 000 m3/h si une ouverture ad hoc, de même section, existe en point bas et en point haut.
C’est sur ce principe que fonctionnent par exemple la cheminée solaire des romains, le puits provençal à tirage naturel, ou encore, partiellement (de nuit sans vent), un bagdir. Pour utiliser le vent de manière opportune, on pourra préférer l’entrée d’air au sud en hiver, et au nord en été, la sortie se faisant toujours par le sud, un jeu de conduites permettant le contrôle de ces flux.
Et rappelons à nouveau ce principe incontournable :
Les résultats d’un calcul permettent d’évaluer une situation, ils ne permettent jamais de décrire une réalité future.

Commentaires
par BOUCHETJean-Alain
Il me parait opérationnel pour nos membres de situer un premier ordre de grandeur des débits de ventilation par ouverture des fenêtres :
par ALLAIRE Soazig
Oui, Merci Jean-Alain pour vos compléments. Soazig pour envirobatBDM
par FAUREDaniel
Armand, cette nouvelle version est bien plus claire. Daniel Fauré
par RAINAUTPhilippe
je témoigne que, dans ma maison BDM à Puy Sanières, la ventilation par tirage thermique sur 3 niveaux ouverts - 8.50 de haut, un petit ouvrant oscillo-battant dans chaque pièce, est parfaitement réglable et satisfaisante en toutes saisons, certainement plus puissante qu’une VMC